Parece mentira, pero a lo largo de mi estudio he podido apreciar que siempre indican que la parte más importante de una estructura es el nudo, que es la unión entre elementos, por lo general suele ser la conexión viga-columna.

El término columna fuerte y viga débil se ha hecho muy conocido en el pregrado de ingeniería civil, pero al menos desde mi experiencia no he podido apreciar que se profundice mucho a esto de aquí, a partir de eso podremos decir que en una estructura de hormigón armado por ser más comunes y según la importancia de los elementos deberán ser:

Es decir, el nudo deberá ser mas fuerte que una columna y esta a su vez deberá ser mucho más fuerte que una viga, pues a la final si una columna falla, es muy probable que una estructura pueda mantenerse en pie, sin embargo, si un nudo llega a fallar, se realizará dicho fallo en cadena, por ende la estructura tiene altas probabilidades de fallar, por lo que se podría decir: Si el nudo falla, la estructura colapsa, tema que fue muy indagado en el sismo del 16-A en la ciudad de Portoviejo, donde se pudo apreciar que la mayoría de estructuras colapsados eran del tiempo que se permitía el diseño con varillas lisas y no se llevaba un control por lo que se agrego más peso del calculado y su construcción quizá fue desarrollada por un no profesional.

Ahora conoceremos un poco los chequeos que se deben incluir al momento del diseño del mismo, de tal forma podremos concretar si dicho nudo es lo suficientemente fuerte para aguantas las cargas al que está siendo sometido.

Primer chequeo (Cortante horizontal)

El peor caso que puede sucederle a un nudo se puede apreciar en la figura 1, que es producto de las fuerzas internas cuando el hormigón a pasado el suficiente daño y ya no se encuentra trabajando en la capacidad calculada, dejando de esta forma al acero trabajando solo lo cual será un peligro pues generará tensiones que pueden dañar el nudo.

Figura  1. El peor caso que se puede encontrar un nudo

Como el hormigón se encuentra dañado y el sismo esta causando una oscilación en la viga, esta generara una fuerza de tracción como se puede apreciar en la figura 2, misma que para términos didácticos podríamos decir que intenta “arrancar” el acero de la zona anclada que tenemos con el gancho al otro extremo, estas fuerzas vamos a denominarlas T1 y T2, misma que deberemos calcular.

Figura  2. Ilustración de las fuerzas T1 y T2

ara el cálculo de las fuerzas denominadas T1 y T2 para nosotros tendremos que ejecutarla a través de las fórmulas 1.1 y 1.2, el 1.25 es una constante determinada en el ACI 318 – 19 sección 18.8.2.1.

Esos serían los valores que están produciendo que el nudo tienda a fallar, sin embargo, la columna también nos brindará un cortante adicional que se opone a las tensiones producto al momento de la viga, que sería algo similar a lo que podemos apreciar en la figura 3.

Figura  3. Ilustración del cortante de columna

El cálculo de este cortante denominado Vcol es sumamente sencillo y esta condicionado por la altura del piso analizado y la sumatoria de los momentos probables o momentos por capacidad quedando:

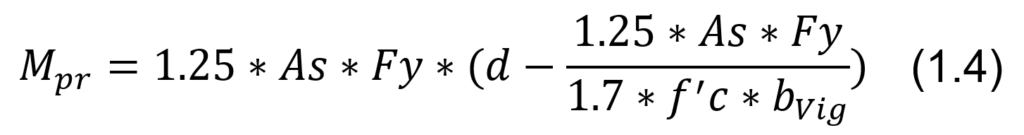
La fórmula para encontrar el momento probable de nuestra sección esta dada por la siguiente ecuación:

Si podemos apreciar ciertas partes de la formula 1.4 se encuentran ya determinadas en las fórmulas 1.1 y 1.2 por lo que reemplazando nos quedaría:

Obteniendo nuestro Vcol por la formula (1.3) y reemplazando los valores obtenidos en 1.5 y 1.6 podemos hacer el cálculo de nuestro cortante:

Para que el nudo pase el chequeo en este análisis de aquí, nosotros deberemos hacer que cumpla que el cortante calculado debe ser menor que la resistencia nominal del nudo a corte:

Donde la resistencia nominal del nudo a corte será:

Ese valor alfa (α) dependerá del lugar donde se encuentre el nudo, es decir qué tipo de columna sea: central o interna, medianera y esquinera, para cada uno de los casos alfa tomará un valor que puede ser 5.3, 4.0 o 3.2.

Figura  4. Condiciones para le valor Alpha

Para el nudo es mucho más beneficioso que la base de la viga sea igual a la base de la columna, de esta forma el nudo tendría mejor resistencia ante los sismos, pero esto sería muy complicado, pero el código ACI 318-19 en su sección 15.2.8 indica observando la figura 5(i), si la base de la viga es menor al ancho de la columna se considera un nudo no confinado por lo que tendremos que escoger no el alfa que le tocaría según la figura 4 sino el alfa inmediatamente inferior

Figura  5. Vista en sección del nudo

El valor del Ac que podemos ver en la figura 5(d) y que se requiere para el cálculo en la ecuación 1.9, es el promedio entre el ancho de la viga y la columna por la profundidad de la columna, expresado por:

Y por último para poder confirmar que Vj sea menor que Vn podremos desarrollar nuestra resistencia a corte del nudo:

Calculado este valor podremos chequear si la condición de la ecuación 1.8 cumple o no; en caso de que no, se deberá rediseñar el nudo.

Segundo chequeo (Cortante Vertical)

En resumidas cuentas, para poder verificar este punto es que la altura de la viga nunca puede ser mayor que la profundidad de la columna como se aprecia en la Figura 6.

De esta forma la masa de la viga en algún movimiento sísmico no va a superar la fuerza que tiene la columna para resistirla desde ese punto, así evitara que se genere una ruptura en la columna.

Figura  6. Columna y vigas vista en elevación

Tercer chequeo (Adherencia)

Antes del sismo de 1985 en México se permitía construir con varilla lisas incluso muchas de las estructuras que yo pude apreciar colapsadas en la ciudad de Portoviejo producto de sismo del 16-A poseían este tipo de varillas, cabe destacar que la zona cero fue el sector más antiguo de la ciudad, es decir cuando se permitían este tipo de refuerzos. Posterior a diferentes estudios se desarrolla la varilla corrugada estas “imperfecciones” crearía un método de adherencia entre el acero y hormigón

La ductilidad del nudo con el tiempo se va perdiendo esta adherencia producto del daño que ocasiona el sismo puesto esta de va desprendiendo hasta llegar a su límite (ya no tiene adherencia) y en ese momento dependerá del anclaje que nosotros hayamos realizado al finalizar el nudo, si este anclaje no está correctamente hecho hay que tener por seguro que colapsa la estructura.

A partir de esta adherencia es que se llega que las secciones de un elemento tipo columna debe ser mínimo 30 centímetros de cada lado en caso que sea cuadrada la sección; ; según el ACI 318 – 19 en su sección 18.8.2.3 en el primer literal indica que para aquí que trabajamos con acero grado 420 mínima a utilizar esta recomendada por 20db longitudinal de la viga, es decir para columnas de 30×30 máximo podríamos utilizar varilla entre 14 y 16 mm.

Según he tengo entendido por comentarios de otros colegas, esta adherencia en países como Chile o Japón esta en 30db y 40db respectivamente.

Anclaje

El anclaje debe tener una longitud estipulada de al menos el menor entre las siguientes opciones según se especifica en la sección 18.8.5:

Ejercicio

Dado los siguientes datos, realice el chequeo que el nudo fuerte se encuentre garantizado en un nudo en una columna medianera:

Datos:

Primer Chequeo

Cálculo de las tensiones

T1= 1.25*As(-)*Fy = 1.25*4.80*4200 = 25 200 Kg

T2= 1.25*As(+)*Fy = 1.25*2.26*4200 = 11 865 Kg

Cálculo del cortante de columna

Mpr1= 25200*(19-25000/(1.7*280*25)) = 422 475 Kg-cm

Mpr2= 11865*(19-11865/(1.7*280*25)) = 213 604 Kg-cm

Vcol= (422 475+243 604)/300 = 2 220 Kg

Cálculo del cortante horizontal

Vj = 25 200 + 11 865 – 2 220 = 34 845 Kg

Cálculo de la resistencia a corte del nudo

Ac= ((30+25)/2)*30 = 825 cm²

Como el nudo se encuentra en una columna medianera en teoría tendría que utilizar alfa con un valor 4, pero primero hay que comprobar su el ancho de la viga es al menos ¾ del ancho de la columna, para eso:

30*3/4= 22.50 cm<25 cm   (OK)

En vista que si es mayor a lo mencionado procederemos con al alfa igual 4

Vn= 4*√(280)*825 = 55 220 Kg

Revisamos si cumple la condición:

34 845 Kg<55 220 Kg   (OK)

Segundo Chequeo

La altura de la viga resulta ser menor que la profundidad de la columna, asi que se puede indicar que cumple con este chequeo.

25 cm ≤ 30cm   (OK)

Tercer Chequeo

El mayor diámetro de la varilla que estamos utilizando en este ejercicio es de 18mm, para esto la adherencia la calculamos de la siguiente forma:

Adherencia = 20db = 20*1.8 = 36cm

Ahora que tenemos el calculo de la adherencia, demos ver si la profundidad de la columna resulta ser igual o mayor a la calculada.

36 cm ≤ 30cm   (NO)

Como no cumple esta condición será necesario realizar un rediseño en esta sección ya sea cambiando la varilla o rediseñando la sección del nudo.

Cuanto Chequeo

Como estamos trabajando con un hormigon de 280 y varillas de 12 y 18 milimetros, al aplicar la teoría y la formula de este documento para el cuarto chequeo, podremos obtener las longitudes de desarroolo para cada diamentro, siendo asi:

Glosario

As(-)= Área real del acero superior

As(+)= Área real del acero inferior

Fy = Fluencia del acero

Mpr1 = Momento probable debido As(-)

Mpr2 = Momento probable debido As(+)

Hpiso = Altura del piso

Vcol = Cortantede columna

f’c = Resistencia a compresión del hormigón

bvig = Base de la viga

bcol = Base de la columna

d = Altura efectiva de compresión

profcol = Profundidad de columna

Vj = Cortante producido por el acero de refuerzo

Deja una respuesta

Tu dirección de correo electrónico no será publicada. Los campos obligatorios están marcados con *

3 Errores Fatales en Diseño Estructural

Evita los errores que cometen algunos ingeneros.